『灘中学校の入試問題』 日々
今日、会社で「大澤さん、この問題を解いてみてください」と渡された紙に書いてあったのが、下の数式です。
今年の灘中学校の算数の入試問題なのだそう。小学生が解くのか…。
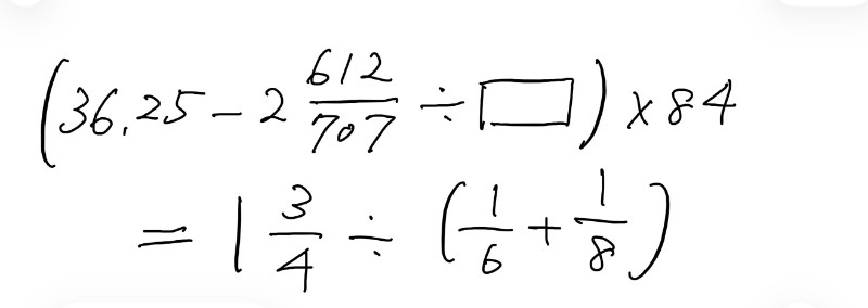
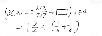
(36.25-2と612/707÷?)×84=1と3/4÷(1/6+1/8)。で、?にあてはまる数字を答えるわけです。
根気よく計算できれば解けるはず。でも、これを小学生が何分で解くのだろう。
…
15分くらいかかったでしょうか。頭が固くなったな~、粘り強く考える力が落ちたな~、なんて躓きながらもなんとか正解にたどり着きました。中学受験など全く別世界を生きてきた私には衝撃的な問題でした。
しかも、「この答えには意味があるんです。有名な進学塾に通っている子は、この答えが間違っていないと確信して次の問題に進めるんです」と言われてまた長考。
答えの意味にも気づきました。そして、その問題が出る可能性があると教え込まれていることにまた衝撃。そりゃとんでもない才能が生まる可能性があるわと感心し、この問題を作成できる出題者にも感心した、公立小、公立中、公立高の私です。




